Статья: СОВЕРШЕНСТВОВАНИЕ СИСТЕМЫ УПРАВЛЕНИЯ ПРОЕКТАМИ НА ОСНОВЕ «AGILE» НА ПРЕДПРИЯТИЯХ ПРОИЗВОДСТВА ПИЩЕВЫХ ПРОДУКТОВ (2025)

Читать онлайн

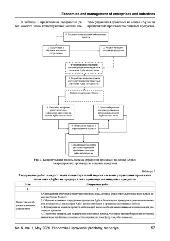
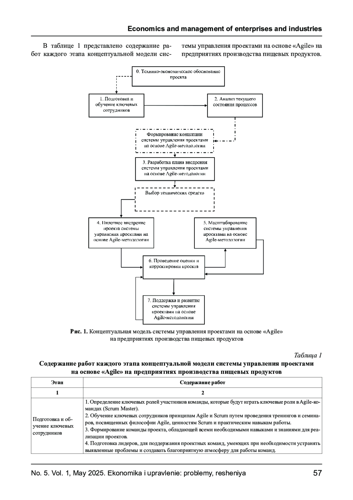
Статья посвящена совершенствованию системы управления проектами на основе «Agile» на предприятиях производства пищевых продуктов. В ней представлена концептуальная модель системы управления проектами на основе «Agile», которая адаптирована к условиям предприятий производства пищевых продуктов, отличающаяся от существующих разработанных моделей введением новой роли (специалист по качеству; Quality Specialist) и новых дополнительных процессов Scrum-методологии («Ретроспектива Продукта» и «Перспективное планирование») в методику управления проектами. Внедрение новых положений в модель управления проектами на основе «Agile» позволит определенно существенно снизить риски, связанные с длительными сроками разработки и возможным несоответствием конечного продукта требованиям рынка.

Ключевые фразы: «agile», пищевая промышленность, КОНЦЕПТУАЛЬНАЯ МОДЕЛЬ, проект, управление, производство, scrum-методологии, роли команд
Автор (ы): Тагирова Лиана Фанисовна, Пуряев Айдар Султангалиевич
Журнал: ЭКОНОМИКА И УПРАВЛЕНИЕ: ПРОБЛЕМЫ, РЕШЕНИЯ

Предпросмотр статьи

Идентификаторы и классификаторы

SCI
Экономика
УДК
338.242.2. в условиях свободной конкуренции
Для цитирования:
ТАГИРОВА Л. Ф., ПУРЯЕВ А. С. СОВЕРШЕНСТВОВАНИЕ СИСТЕМЫ УПРАВЛЕНИЯ ПРОЕКТАМИ НА ОСНОВЕ «AGILE» НА ПРЕДПРИЯТИЯХ ПРОИЗВОДСТВА ПИЩЕВЫХ ПРОДУКТОВ // ЭКОНОМИКА И УПРАВЛЕНИЕ: ПРОБЛЕМЫ, РЕШЕНИЯ. 2025. ТОМ 1 № 5
Текстовый фрагмент статьи