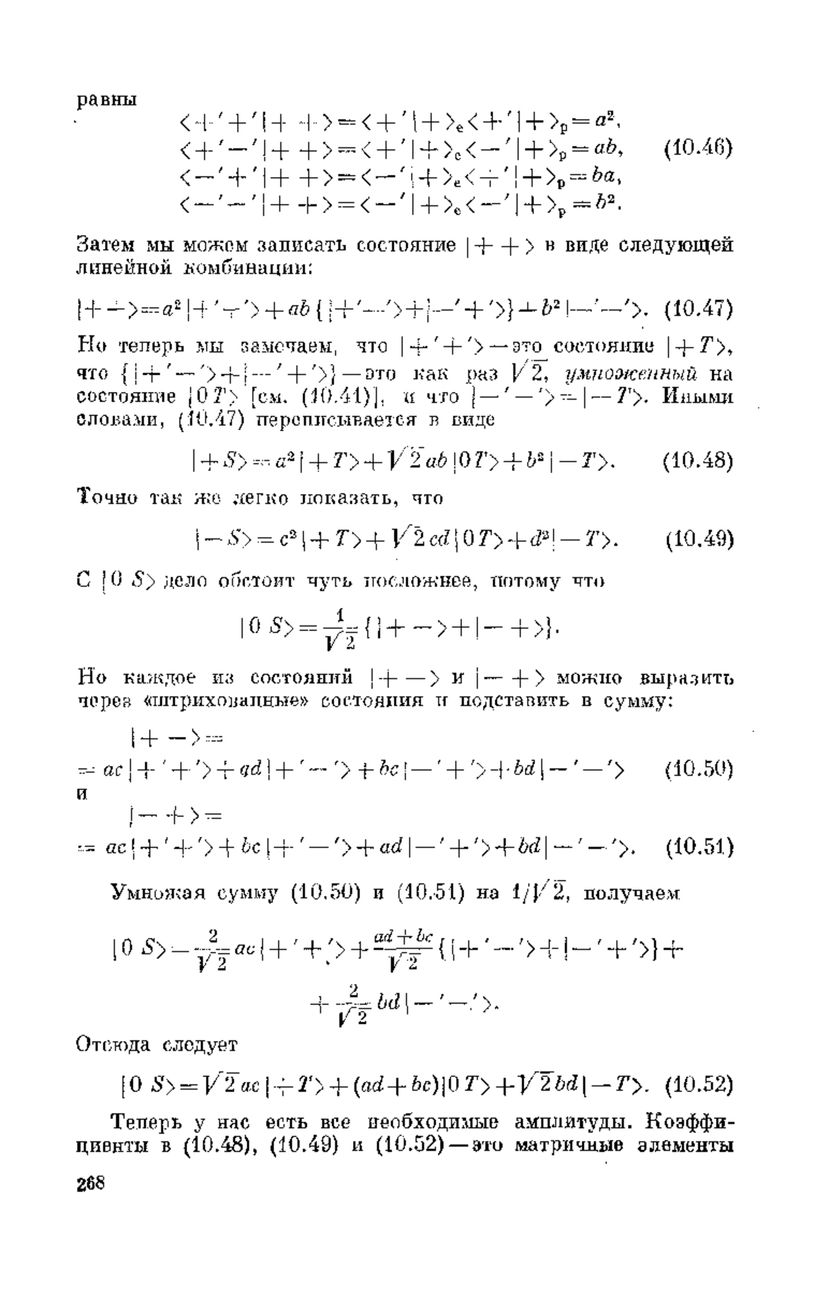
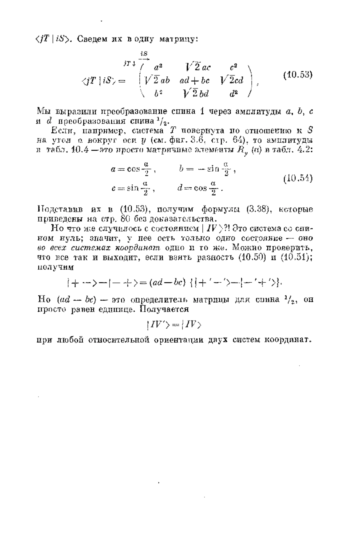
Книга: Фейнмановские лекции по физике. Том 8.

Фейнмановские лекции по физике подходят к концу. Настоящий, восьмой, и следующий, девятый, выпуски, составляющие третий том американского издания, завершают курс и приводят читателя к идеям и задачам современной квантовой механики.

Квантовая механика считается трудной наукой. И это правда: ее методы и понятия еще очень далеки от наглядности. Чтобы рассказать о ней понятно и увлекательно, надо совмещать талант педагога и большой опыт исследователя.

Обычно барьером к изучению квантовой механики служит ее математический аппарат. Чтобы научиться решать квантомеханические задачи, надо знать дифференциальные уравнения в частных производных, свободно обращаться со специальными функциями и уметь делать многое другое.

Информация о документе

Формат документа
PDF, DJVU
Кол-во страниц
267 страниц
Загрузил(а)
Лицензия
Доступ
Всем

Информация о книге

Издательство
Мир
Автор(ы)
Фейнман Р., Лейтон Р., Сэндс М.
Ключевые фразы
КВАНТОВАЯ МЕХАНИКА
Каталог SCI
Физика

Статистика просмотров

Статистика просмотров книги за 2025 год.