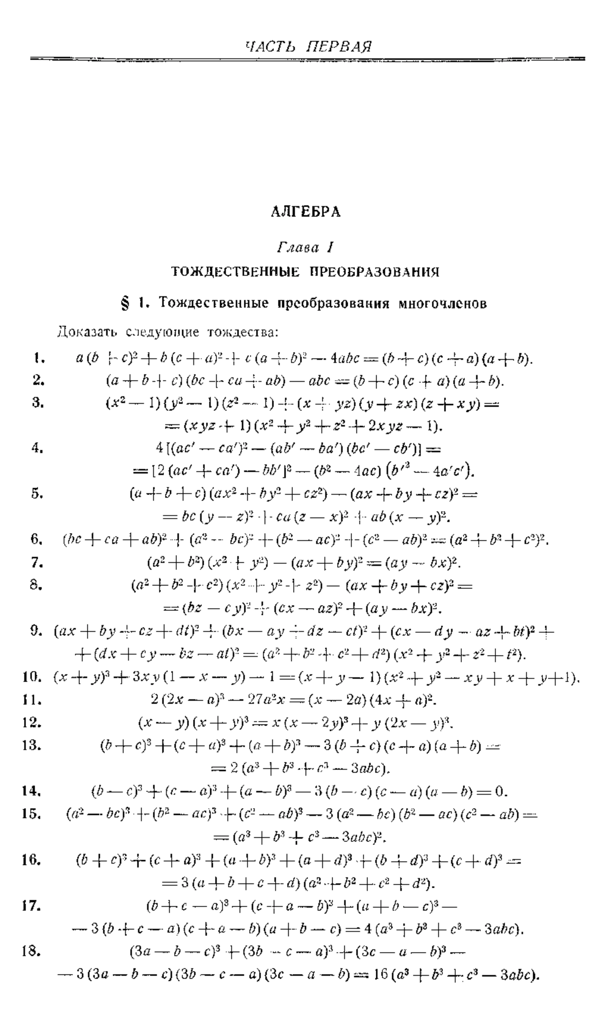
Книга: Сборник задач по специальному курсу элементарной математики
Сборник задач по элементарной математике предназначен в первую очередь для студентов физико-математических факультетов педагогических институтов и университетов. В сборник включены задачи по всем основным разделам элементарной математики, а потому он может быть достаточно широко использован преподавателями математики средней школы, а также учащимися средней школы, интересующимися математикой. Материал по алгебре и тригонометрии расположен в точном соответствии с единственными имеющимися сейчас учебниками С. И. Новоселова по специальным курсам алгебры и тригонометрии.
Информация о документе
- Формат документа
- PDF, DJVU
- Кол-во страниц
- 662 страницы
- Загрузил(а)
- Лицензия
- —
- Доступ
- Всем
Информация о книге
- Издательство
- АКЦИОНЕРНОЕ ОБЩЕСТВО "ИЗДАТЕЛЬСТВО "ВЫСШАЯ ШКОЛА"
- Год публикации
- 1960
- Каталог SCI
- Математика
Статистика просмотров
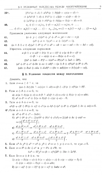
Статистика просмотров книги за 2025 год.