Книга: Задачник-практикум по тригонометрии (2-е изд.)
Задачник-практикум — это книга, которая учит читателя решать задачи, показывая, как они решаются.
Этот задачник-практикум предназначен для студентов-заочников физико-математических факультетов педагогических институтов. Он отличается от школьных задачников и по содержанию, и по расположению материала.
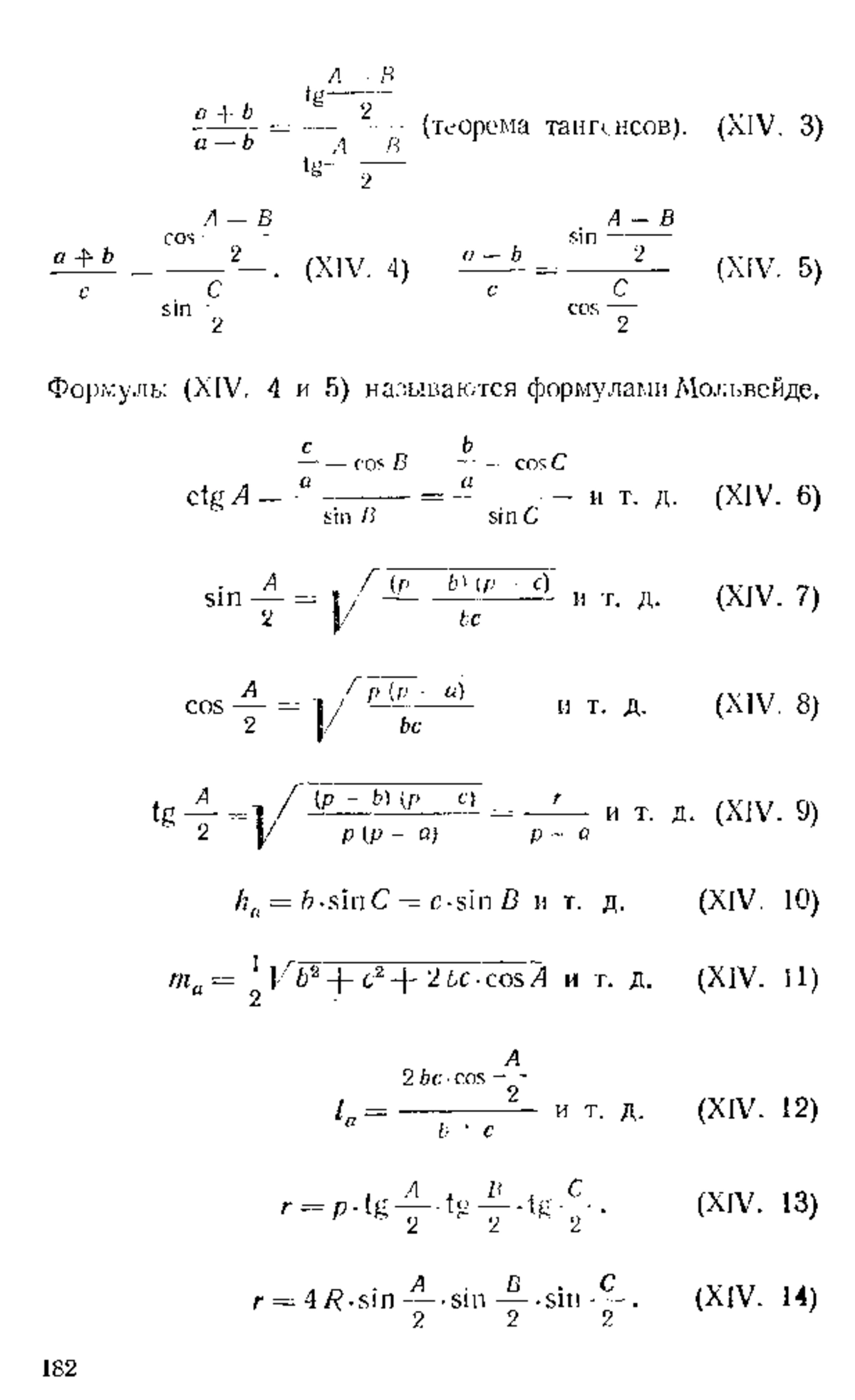
Отличие по содержанию заключается, во-первых, в том, что здесь главное внимание уделено аналитической стороне тригонометрии (тригонометрические функции числового, в частности комплексного, аргумента, нахождение пределов, экстремумы, суммирование рядов, приближенные методы решения уравнений).
Во-вторых, уделены наиболее простые и традиционные задачи, рассматриваемые в школьном курсе. Количество задач на решение треугольников (в плоскости) сведено к минимуму. Однако это не значит, что задачник комплектовался из трудных и искусственных задач. Это — задачник повышенной тематики, а не повышенной трудности.
Включен параграф, посвященный решению сферических треугольников.
Информация о документе
- Формат документа
- PDF, DJVU
- Кол-во страниц
- 185 страниц
- Загрузил(а)
- Лицензия
- —
- Доступ
- Всем
Информация о книге
- Издательство
- Учпедгиз
- Год публикации
- 1962
- Каталог SCI
- Математика
- ББК
- 22.3. Физика
- УДК
- 53. Физика
Статистика просмотров
Статистика просмотров книги за 2025 год.