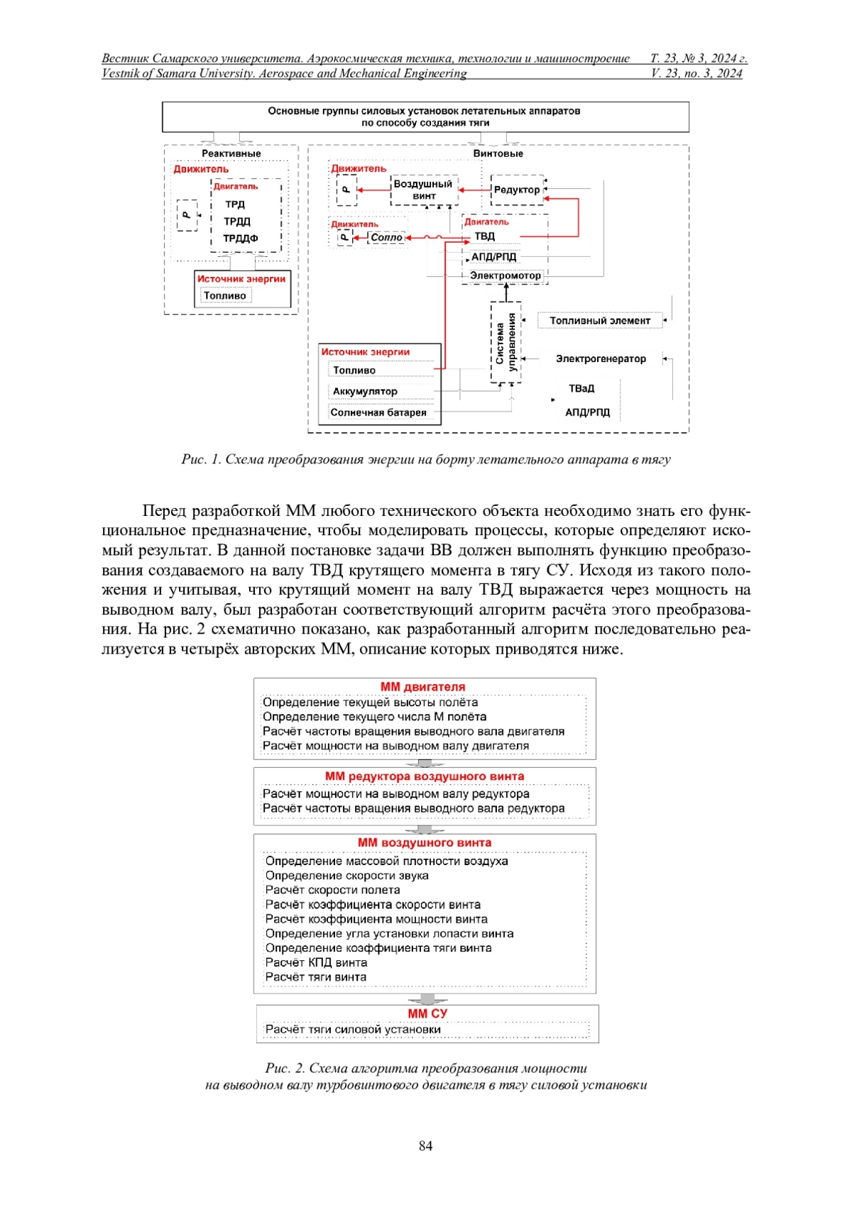
Описано решение научной задачи, заключающейся в расширении функциональных возможностей вычислительной программы «Расчёт тягово-экономических и удельно-массовых характеристик силовой установки и параметров движения летательного аппарата» за счёт внедрения дополнительных алгоритмов и математических моделей для расчёта высотно-скоростных характеристик винтовых авиационных силовых установок. Используется внутренний расчёт тяги воздушного винта самолёта по экспериментальным аэродинамическим коэффициентам, что позволяет повысить эффективность и достоверность комплексных расчётно-теоретических исследований силовых установок различных типов в составе летательных аппаратов на этапе проектирования. Приведено описание разработанных алгоритмов: алгоритма преобразования мощности на выводном валу газотурбинного двигателя в тягу силовой установки самолёта; математической модели воздушного винта, обеспечивающей расчёт его тяги по экспериментальным аэродинамическим коэффициентам; алгоритма определения тяги силовой установки с учётом сжимаемости воздуха и взаимодействия воздушного винта и элементов планера самолёта. Раскрыты некоторые особенности математического моделирования воздушного винта самолёта, в частности, принцип управления воздушным винтом посредством воздействия на угол установки лопасти и частоту вращения в зависимости от скорости полёта самолёта и способ построения поля аэродинамических характеристик воздушного винта самолёта в широких диапазонах изменения угла установки лопасти и коэффициента скорости. Представлены результаты верификации доработанной программы с анализом полученных высотно-скоростных характеристик.
Идентификаторы и классификаторы
Из истории развития авиационных газотурбинных двигателей (ГТД) известно, что турбореактивные двигатели (ТРД), пришедшие на смену поршневым, при прочих достоинствах имели существенный недостаток, заключающийся в бόльшем удельном расходе топлива. Поэтому для пассажирских и транспортных воздушных перевозок стали применять более экономичные при скоростях полёта до 550…650 км/ч турбовинтовые двигатели (ТВД). С появлением двухконтурных ТРД, обладающих возможностью значительного снижения удельного расхода топлива при увеличении степени двухконтурности, развитие ТВД практически не происходило.
Список литературы
1. Нечаев Ю.Н., Федоров Р.М., Котовский В.Н., Полев А.С. Теория авиационных двигателей. Ч. 1. М.: ВВИА им. проф. Н.Е. Жуковского, 2006. 366 с.
2. Блудов А., Фомин А. “Регионалы” в российском небе - 2020 // Взлёт. 2020. № 9-10 (189-190). С. 50-55.
3. Austin R. Unmanned aircraft systems: UAVS design, development and deployment. John Wiley, 2010. 372 c.
4. Зиненков Ю.В., Луковников А.В., Фёдоров Р.М. Расчёт тягово-экономических и удельно-массовых характеристик силовой установки и параметров движения летательного аппарата. Свидетельство о гос. регистрации программ для ЭВМ № 2015662803; опубл. 02.12.2015.
5. Луковников А.В. Методология формирования технического облика силовых установок летательных аппаратов различного целевого назначения // Наукоёмкие технологии. 2008. Т. 9, № 3. С. 50-58. EDN: ISGWTL
6. Варуха И.М., Бычков В.Д., Смоленский В.Л. Практическая аэродинамика самолёта АН-12. М.: Транспорт, 1971. 180 с.
7. Кравец А.С. Характеристики воздушных винтов. М.: Госиздоборонпром, 1941. 264 с.
8. Александров В.Л. Воздушные винты. М.: Госиздоборонпром, 1951. 476 с.
9. Юрьев Б.Н. Избранные труды. Т. 1. Воздушные винты. Вертолёты. М.: Академия наук СССР, 1961. 551 с.
10. Арепьев А.Н. Выбор проектных параметров и оценка лётных характеристик пассажирских самолётов с турбовинтовыми двигателями: учеб. пособие. М.: МАИ, 2005. 96 c.
11. Нечаев Ю.Н., Федоров Р.М., Котовский В.Н., Полев А.С. Теория авиационных двигателей. Ч. 2. М.: ВВИА им. проф. Н.Е. Жуковского, 2006. 448 с.
12. Бехтир П.Т., Бехтир В.П. Практическая аэродинамика самолёта Ил-18. М.: Транспорт, 1972. 200 с.
Выпуск
Другие статьи выпуска
Рассматривается системный подход к созданию роботизированного производства малых космических аппаратов нанокласса для обеспечения их серийного выпуска. Проведён анализ ключевых трендов в создании и развитии современных производств космических аппаратов, выявлены и систематизированы факторы, характеризующие серийные роботизированные производства. Описана интеллектуальная производственная ячейка как основной элемент серийного роботизированного производства матричного типа. Представлены основные типы проектно-конструкторских решений, направленных на адаптацию конструкции малого космического аппарата для роботизированной сборки. Приведено описание проекта по созданию прототипа серийного производства малых космических аппаратов в формате киберфизической фабрики, реализованного в передовой инженерной аэрокосмической школе Самарского университета.
Опираясь на ранее разработанную авторами данной статьи математическую модель управления платформой Стюарта, были получены углы поворота валов сервопривода при задании различных законов движения подвижной платформы в матричном виде. Разработана аппаратная часть прототипа базового модуля масштабируемой роботехнической системы моделирования сложных поверхностей для динамических испытаний. Приведены результаты расчётов максимальной допустимой нагрузки на валы сервоприводов. Приведены настройки CubeIDE для программирования микроконтроллера STM32. Получены результаты разработки программного обеспечения для управления данного прототипа, а именно написана библиотека управления шестью сервоприводами под управлением драйвера. Рассмотрены проблемы, которые могут возникнуть при вышеописанных разработках будущими разработчиками, получены варианты решения данных проблем. Описаны подробные конструкторские особенности данного прототипа, приведён код управления сервопривода, рассмотрены шаги по дальнейшей разработке роботехнической системы моделирования сложных поверхностей для динамических испытаний.
Прецизионное исследовательское и технологическое оборудование, как правило, не способно обеспечить свои паспортные характеристики без качественной системы вибрационной защиты. Активная виброизоляция объекта обеспечивается с помощью дополнительного источника движения - актуатора. Наиболее перспективные по точностным характеристикам актуаторы реализуются на основе интеллектуальных материалов, таких как материалы с памятью формы, пьезоэлектрические и магнитострикционные материалы, электро- и магнитоактивные жидкости и эластомеры. Актуаторы на основе одного из типов электроактивных полимеров, диэлектрических эластомеров, показывают высокие характеристики по точности и быстродействию и работают за счёт деформации рабочего тела под действием высокой разности потенциалов электрического поля. В работе представлено сравнение актуаторов на основе листовых и тонкоплёночных управляющих электродов. Оценено влияние качества поверхности полимера и типа электродов на диапазон перемещений актуатора и максимальные амплитуды колебаний, которые способна подавлять система на основе диэлектрического эластомера. Показано, что формирование электрода методом магнетронного распыления в вакууме позволяет создать тонкоплёночный слой меди, который покрывает эластомер, несмотря на развитую поверхность. Отмечено, что после ионной обработки поверхность эластомера приобретает более равномерную, регулярную структуру, а тонкоплёночный слой электрода качественно формируется по топологии эластомера.
Приводятся результаты оптимизации рабочего процесса одноступенчатой осевой турбины с целью повышения её КПД. В ходе оптимизации требовалось максимально сохранить конструкцию исходной турбины. Для решения данной задачи разработана схема параметризации лопаток и трактовых обводов турбины с учётом конструкторских и технологических ограничений. Сопловая лопатка турбины имела дефлектор. Для контроля возможности размещения дефлектора разработана специальная программа, отслеживающая пространственное положение сечений лопатки соплового аппарата. Для контроля параметров потока на выходе из турбины по высоте разработана программа пост-обработки. Критериями оптимизации являлись КПД и величина отклонения угла выхода потока из турбины по высоте от исходного. Ограничениями являлись расход рабочего тела и степень понижения полного давления в турбине. Задача решалась в несколько этапов с различными варьируемыми переменными. В результате решения задачи удалось повысить КПД турбины на 0,87%.
Рассмотрены назначение и принципы работы аварийной системы гражданского самолёта, включающей блок передачи мощности. Проведён анализ проблем и тенденций развития аксиально-поршневых гидромашин в авиастроении. Выполнен анализ параметров используемых блоков передачи мощности на 12 типах пассажирских самолётов. Рассмотрены сценарии выхода из строя блоков передачи мощности. Обозначены основные направления решения проблем эксплуатации, а также требования к проектированию и проведению испытаний.
Разработана методика получения параметров модели деградации жёсткости композиционного материала путём специальной обработки данных экспериментов и использования методов оптимизации. В качестве исходных данных используются результаты ресурсных испытаний однонаправленных полимерных композиционных материалов с разными изначальными жёсткостями, напряжениями разрушения и действующими напряжениями цикла. В качестве математической модели деградации жёсткости используется нелинейное обыкновенное дифференциальное уравнение с пятью неизвестными параметрами, отражающее характерные изменения свойств материала. Процедура решения сводится к задаче оптимизации целевой функции, величина которой характеризует достигнутую точность. В качестве методов оптимизации использованы метод, имитирующий поведение стаи мотыльков, и метод последовательной редукции множества поиска. Предложен пошаговый алгоритм нахождения неизвестных параметров модели, приведены численные результаты обработки экспериментальных данных, содержащих информацию об изменении модуля упругости композиционного материала в ходе приложения циклов нагрузки.
Представлены предварительные результаты разработки и исследовательских испытаний камеры ракетного двигателя с тягой 100 Н на компонентах топлива газообразный кислород - газообразный водород, предназначенного для использования в качестве маршевого двигателя малого разгонного блока для вывода полезной нагрузки массой до 150 кг на целевые орбиты. Основными особенностями камеры двигателя являются изготовление методом селективного лазерного плавления из порошка стали 12Х18Н10Т и её регенеративное охлаждение газообразным водородом. Расчётно и экспериментально подтверждена возможность регенеративного охлаждения камеры на номинальном режиме. Приведены текущие результаты разработки методики оптической регистрации процесса выноса конструкционного материала из камеры в ходе испытаний с помощью различных светофильтров. Показано, что имеется корреляция яркости полученных кадров с расходом водорода. Также показано, что догорание выносимых частиц материала в отличие от двигателей больших тяг происходит в основном в хвосте струи.
Представлены результаты разработки средств интеллектуального робастного управления параметрами триботронной роторно-опорной системы с коническим подшипником со смещаемой втулкой. Предложенный контроллер реализован на основе глубокого нейросетевого Q-обучения с подкреплением (DQN), синтезированного на основе верифицированной численной модели роторно-опорной системы. Стратегия управления включала в себя одновременное управление положением вала и трением в смазочном слое. Помимо синтеза управления для детерминированной системы также представлен новый метод синтеза робастного DQN-контроллера для системы со стохастичностью параметров. Метод позволяет учитывать неопределённости в системе на этапе обучения посредством случайного варьирования параметров её численной модели. Численное тестирование полученных контроллеров показывает лучшую способность контроллера, обученного с учётом неопределенностей, справляться с переменными нагрузками, а также прогнозировать возможные изменения в системе и превентивно переводить систему в более выгодные состояния.
Исследуется возможность определения коэффициента демпфирования опоры с упругим кольцом на основе сил сухого трения с использованием специального испытательного стенда. Вынужденная возбуждающая сила задаётся колебаниями компактного динамика, устанавливаемого сверху на колеблемою массу через П-образную перекладину. Объектом исследования является демпфер с упругим кольцом, представляющим собой тонкостенное кольцо с равномерно распределёнными выступами внутри и снаружи, расположенными в шахматном порядке. Коэффициент демпфирования оценивается с помощью приспособления для имитации опоры ротора, датчика ускорения, динамика-возбудителя, контроллера и обрабатывающей станции. Оценка величины демпфирования производится по ширине пика на резонансной частоте. Приведено сравнение величины коэффициента демпфирования, полученного по анализу резонансного пика и по скорости затухания при ударном эксперименте.
Предлагается алгоритм для оценивания углового ускорения по тангажу при наличии шумов измерений. Угловые скорости и углы Эйлера, фиксируемые навигационной системой, интерполируются при помощи Эрмитовых сплайнов третьего порядка, дифференцирование которых позволяет найти оценки углового ускорения по тангажу. В данной работе для сравнения анализируется известный метод численного дифференцирования - метод Поплавского аппроксимации первой производной, основанный на полиномиальной регрессии. Результаты моделирования, полученные с помощью предложенного алгоритма, сравниваются с результатами, полученными с использованием метода Поплавского. Результаты показывают, что предложенный в работе алгоритм оценки углового ускорения по тангажу обеспечивает более высокую точность, в том числе при наличии шумов измерений, за счёт комплексирования информации от двух различных датчиков, замеряющих угол тангажа и угловую скорость по тангажу.
Предлагается методика выбора рациональных параметров крупноразмерных беспилотных летательных аппаратов (БПЛА) самолётного типа на начальных стадиях проектирования с использованием оптимизационного алгоритма дифференциальной эволюции и численного математического моделирования задач аэродинамики. Методика предполагает выполнение весового и аэродинамического баланса на основных режимах полёта, имеет возможность рассматривать БПЛА самолётного типа с одной или двумя несущими поверхностями, применять параллельные вычисления и автоматически генерировать трёхмерную геометрическую модель облика летательного аппарата по результатам оптимизации. Предлагается и демонстрируется способ ускорения более чем в три раза процесса решения задачи оптимизации параметров летательного аппарата по взлётной массе путём введения целевой функции в набор проектных переменных. Приводятся результаты оценки достоверности используемых математических моделей аэродинамики и корректности вычисления целевой функции с учётом различных ограничений. Комплексная проверка работоспособности и эффективности методики рассматривается на решении демонстрационных задач по оптимизации более десяти основных проектных параметров облика двух существующих беспилотных летательных аппаратов тяжёлого класса с известными из открытых источников характеристиками. Показаны примеры использования результатов оптимизации для модификации прототипов.
Исследуется задача выбора приближённо-оптимальных параметров электрореактивной двигательной установки в составе космического аппарата, обеспечивающей довыведение на геостационарную орбиту при использовании на начальном этапе выведения ракету-носитель типа «Союз-5». Получено выражение для главного критерия оптимальности - относительной массы полезной нагрузки. Разработан алгоритм решения задачи параметрической оптимизации электрореактивной двигательной установки в составе комбинированной транспортной системы. Решена задача выбора оптимального электрореактивного двигателя при выведении космического аппарата с электрореактивной двигательной установкой на геостационарную орбиту с помощью рассматриваемой ракеты-носителя. Проведён проектно-баллистический расчёт и сравнительный анализ полученных данных.
В настоящее время всё большее распространение получают малые космические аппараты как с оптико-электронной, так и с радиолокационной съёмочной аппаратурой. Целью работы является повышение эффективности предварительной оценки достижимых характеристик целевой аппаратуры на начальных этапах проектирования малых космических аппаратов с радиолокационной аппаратурой. В работе описываются достоинства использования радиолокационной съёмочной аппаратуры, а также основные тенденции её развития. Приводятся основные области применения космических аппаратов с радиолокатором различных частотных диапазонов и описываются достоинства каждого частотного диапазона. Рассматривается методика определения параметров траекторного сигнала при движении космического аппарата по круговой орбите с учётом допущений, связанных с оценкой размера зоны облучения по азимуту. На основании рассмотренной методики разработана программа, которая позволяет на основании массогабаритных характеристик антенны и параметров орбиты космического аппарата оценить требуемые размеры синтезированной апертуры, время синтеза и азимутальное разрешение целевой аппаратуры. Для программы разработан графический пользовательский интерфейс, позволяющий в интерактивном режиме варьировать исходные данные для расчёта и оценивать графическое представление результата. Разработанная программа может применяться для расчёта основных проектных параметров малых космических аппаратов с радиолокационной съёмочной аппаратурой на этапе предварительного проектирования.
На этапе предварительного проектирования летательных аппаратов обычно приходится решать проблему недостаточности исходных данных для применения традиционных детерминированных моделей математического программирования. Актуальной является разработка алгоритмов, позволяющих повысить надёжность проектных решений в условиях эпистемической неопределённости, возникающей, когда к формированию исходных данных привлекаются эксперты. В работе рассматривается задача выбора аэродинамических характеристик и параметров двигателя маневренного самолёта в условиях неопределённости, связанной с неточностью экспертной информации. Предлагаются алгоритмы, в которых теория неопределённости применяется с моделями «чёрного ящика», реализующими методику оптимизационных расчётов из инженерной практики предварительного проектирования летательных аппаратов. Используя эти алгоритмы, эксперты получают возможность задавать неопределённые параметры, в которых недостаток знаний учитывается функциями распределения неопределённости. В случае монотонности целевых функций по неопределённым параметрам применение теории неопределённости позволяет при оптимизационных расчётах значительно сократить вычислительные затраты по сравнению с методом статистического моделирования. Приводятся результаты расчётных исследований разработанных алгоритмов. Для различных уровней уверенности получены Парето-фронты, позволяющие выбрать проектные решения, включающие значения аэродинамических характеристик и параметров двигателя маневренного самолёта.
Статистика статьи
Статистика просмотров за 2025 год.
Издательство
- Издательство
- Самарский университет
- Регион
- Россия, Самара
- Почтовый адрес
- 443086, Самара, Московское шоссе, 34,
- Юр. адрес
- 443086, Самара, Московское шоссе, 34,
- ФИО
- Богатырев Владимир Дмитриевич (Ректор)
- E-mail адрес
- rector@ssau.ru
- Контактный телефон
- +7 (846) 3351826
- Сайт
- https://www.ssau.ru/